收藏本站
首页
公司概况
公司简介
公司规模
公司荣誉
产品中心
新闻动态
企业资讯
行业报道
医药知识
商务招商
联系我们
人才招聘
mk(中国)
新闻动态
企业资讯
行业报道
医药知识
当前位置:
首页
>
企业资讯
>
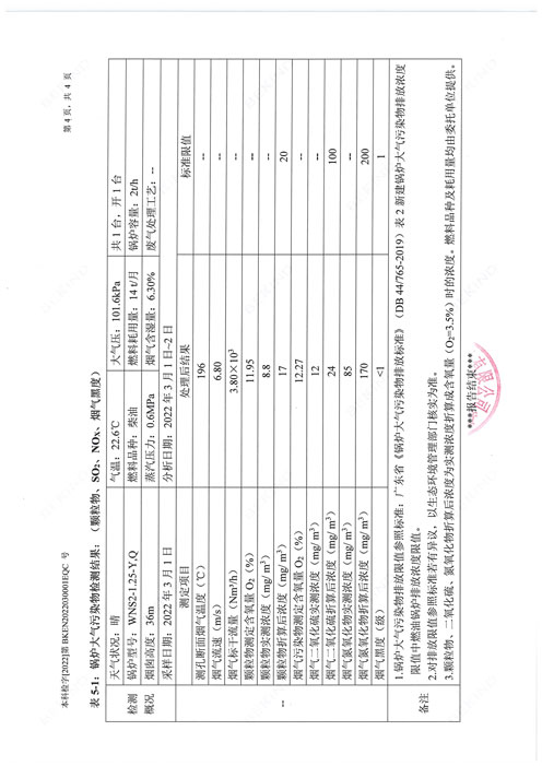
2022年3月废气检测
2022年3月废气检测
发布时间:2022-04-29 10:33:53 点击数:
上一篇:
2022年2月废气检测
下一篇:
2022年3月废水检测
官方微信扫一扫
关注淘宝最新优惠
爱体育(中国官网)集团科技有限公司
|
ml体育平台
|
ML.COM
|
华体会体育·(sports)官方网站
|
lejing. com
|
完美官网
|
JIUZHOU.COM九州
|
BY.COM
|
星空体育APP网站/手机版下载/官网登录入口
|